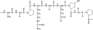
Jelatin, gıda endüstrisindeki kullanımıyla ünlü olsa da, farmasötik ve tekstil uygulamalarında yaygın olarak kullanılan inanılmaz derecede çok yönlü bir proteindir. Bu endüstriler, jelatinin ucuz, esnek ve ısıyla geri dönüşümlü jeller oluşturma yeteneğinden yararlanır. Jelatin nedir ve nasıl elde edilir? Jelatin , kollajenin kısmi hidrolizinden üretilir . Kollajen vücutta en çok bulunan proteindir. Tendonlarımız ve kemiklerimiz dahil olmak üzere birçok dokumuzda önemli bir yapısal bileşendir. Bu, ilk başta çelişkili gelebilir – jelatin tanımı gereği bir jel iken, kollajen kemik gibi sert dokulara nasıl yapı sağlayabilir? Bu fenomeni her iki proteinin ikincil yapısına bakarak açıklayabiliriz . Jelatin ve kollajen, bitişik zincirlerin amino asitleri arasındaki hidrojen bağları ile bir arada tutulan polipeptit zincirleri olarak bulunur. Bu etkileşimlerden ortaya çıkan yapısal konformasyon (şekil), proteinin ikincil yapısı olarak bilinir. Kollajen, oldukça kararlı bir üçlü sarmal yapı oluşturmak için birbiriyle sıkı bir şekilde iç içe geçen üç polipeptit zincirinden oluşur. Bu üçlü sarmal moleküller daha sonra kollajen fibril demetleri halinde düzenlenir. Bu yüksek derecede organizasyon, kollajenin neden üstün mekanik özelliklere sahip olduğunu ve neden vücudun birçok dokusuna yapı ve destek sağlamaya hazır olduğunu açıklar Kollajen ısı altında hidrolize edildiğinde, üçlü sarmal gevşer ve ikincil yapı kısmen kaybolur. Bu süreç, kollajenin denatürasyonu olarak adlandırılır – jelatin, basitçe denatüre kollajendir. Kollajen suda çözünmez olduğundan, hidroliz reaksiyonu asidik veya bazik koşullar altında katalize edilir . İki tip jelatin elde edilir: Tip A (asit hidrolizi) ve Tip B (baz hidrolizi). Jelatin solüsyonu sol-jel geçiş sıcaklığının (yaklaşık 35 °C) altına soğutulduğunda , polipeptit zincirleri toplanır ve ikincil yapılarını yeniden kazanmaya çalışır. Bununla birlikte, bu yapı, kollajene göre sadece kısmen yeniden düzenlenmiştir. Üçlü sarmalların renature (reform) olduğu bölgelere bağlantı bölgeleri, zincirlerin rastgele kıvrıldığı bölgelere ise amorf denir. Pek çok tatlı, ağızda erime davranışı elde etmek için jel-sol geçiş sıcaklığından yararlanan bir doku düzenleyici olarak jelatini kullanır. Peki jelatin neden bir jel oluşturur? Sarmal birleşme bölgeleri çapraz bağlar gibi hareket ederek mikroskobik jelatin ağların oluşmasına izin verir. Başlangıçta bir jelatin solüsyonumuz vardı; bu su molekülleri artık jelatin ağının gözenekleri içinde hapsolmuştur. Bu nedenle jelatin , bir fazın başka bir faz içinde mikroskobik olarak karıştırıldığı bir kolloid örneğidir . Bir jel, sıvı fazın (bu durumda su) katı faz (bu durumda jelatin) içinde dağıldığı belirli bir kolloid türüdür. Dağılan faz su olduğu için bu jellere genellikle hidrojel diyoruz . Jelatin hidrojeller, ağlarında çözünmeden olağanüstü miktarda su tutabilir. Bu, jölenin neden sallandığını açıklar – jelatin ağı genel yapısal bütünlüğü korur, ancak su fazı, sert bir katı olarak sertleşmesini engeller. Sıcaklık, jel-sol geçiş sıcaklığının üzerine çıkar çıkmaz, jelatin bir kez daha sıvılaşır. Jelatinin kendisinin tatsız olduğunu öğrenmek sizi şaşırtabilir – jelatin ağı içinde hapsolmuş tat molekülleri, jöle ağzınızda eridiğinde salınır! Jelatin araştırmalarda nasıl kullanılır? Jelatin biyolojik olarak uyumludur (toksik değildir) ve kolayca sindirilebilir. Bu, farmasötik uygulamalar için inanılmaz derecede yararlı bir malzeme olmasını sağlar. Yumuşak jel kapsüllerin görüntüsü Yumuşak jel kapsüller kolayca sindirilir, aktif bileşenlerin vücuda hızla salınmasını ve emilmesini sağlar. İlaç ve ek kapsüller, oral uygulamayı iyileştirmek için genellikle jelatin ile kaplanır. Kaplamanın yüzeyi pürüzsüzdür ve ilacın yutulmasını kolaylaştırır. Jelatin ayrıca kapsül içinde tutulan aktif bileşenlerin hoş olmayan tadını maskelemeye yardımcı olur. Jelatin hidrojeller, potansiyel ilaç verme ajanları olarak klinik deneylere girmiştir. Bu jeller, ilacı vücuttaki bir hedef konuma taşımak ve iletmek için özel olarak tasarlanmıştır. İlaç molekülleri, jel matrisinin gözeneklerine yüklenir ve ardından sıcaklık ve pH gibi çevresel uyaranlara yanıt olarak salınır. En önemlisi, ilaç kontrollü yükleme ve salım kinetiği ile uygulanır. Araştırmacılar genellikle, ilaç dağıtım sürecinin etkinliğini en üst düzeye çıkarmak için, örneğin farklı fonksiyonel gruplarla jelatini kimyasal olarak modifiye etmenin yollarına bakarlar. Bandajla sarılmış bir elin görüntüsü Jelatin, kan akışını durdurmak ve iyileşmeyi desteklemek için yara pansumanlarında kullanılır.
Call us now: +1(800) 123 4567
Email: oesus@support.com














