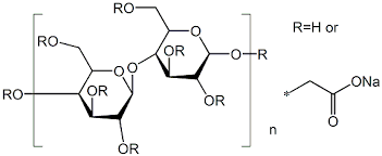
Tanım CH2COOH gruplarının selüloz zincirinin glikoz birimlerinde bir eter bağlantısı yoluyla ikame edildiği yarı sentetik, suda çözünür bir polimer. Mw 21.000 ile 500.000 arasında değişmektedir. Reaksiyon alkali bir ortamda meydana geldiğinden, ürün karboksilik asit RO-CH2COONa’nın sodyum tuzudur. Farmasötik Uygulamalar Sodyum karboksimetil selüloz (NaCMC), bir anyonik türev olan karboksimetil selülozun sodyum tuzudur. Öncelikle viskozite artırıcı özellikleri nedeniyle oral ve topikal farmasötik formülasyonlarda yaygın olarak kullanılır. Topikal uygulama veya oral ve parenteral uygulama için amaçlanan tozları süspansiyon haline getirmek için viskoz sulu çözeltiler kullanılır. Karboksimetilselüloz sodyum ayrıca bir tablet bağlayıcı ve dağıtıcı olarak ve emülsiyonları stabilize etmek için kullanılabilir. Uygulamalar ve macunlar için temel olarak kullanılabilecek jeller üretmek için orta viskozite sınıfının daha yüksek konsantrasyonları, genellikle %3-6’sı kullanılır; kurumasını önlemek için genellikle bu tür jellere glikoller eklenir. Karboksimetilselüloz sodyum ayrıca kendinden yapışkanlı ostomi, yara bakımı ve dermatolojik yamalarda bir muko-yapışkan olarak ve yara eksüdasını veya transepidermal su ve teri emmek için kullanılır. Bu muko-yapışkan özellik, ameliyat sonrası doku yapışıklıklarını önlemek için tasarlanmış ürünlerde kullanılır; ve mukoza zarlarına uygulanan aktif bileşenlerin salım kinetiklerini lokalize etmek ve değiştirmek; ve kemik onarımı için. Karboksimetilselüloz sodyum ile kapsülleme, ilaç korumasını ve dağıtımını etkileyebilir. Hücre koruyucu bir ajan olarak kullanıldığına dair raporlar da vardır. Karboksimetilselüloz sodyum ayrıca kozmetik, banyo malzemeleri, cerrahi protezler ve idrar kaçırma, kişisel hijyen ve gıda ürünlerinde de kullanılır. Emniyet Karboksimetilselüloz sodyum oral, topikal ve bazı parenteral formülasyonlarda kullanılır. Ayrıca kozmetik, banyo malzemeleri ve gıda ürünlerinde yaygın olarak kullanılır ve genellikle toksik ve tahriş edici olmayan bir malzeme olarak kabul edilir. Bununla birlikte, büyük miktarlarda karboksimetilselüloz sodyumun oral tüketimi müshil bir etkiye sahip olabilir; terapötik olarak, orta ve yüksek viskozite dereceli karboksimetilselüloz sodyumun günlük bölünmüş dozlarında 4-10 g toplu müshil olarak kullanılmıştır. DSÖ, istenen etkiyi elde etmek için gerekli seviyelerin sağlık için bir tehlike oluşturmadığı düşünüldüğünden, bir gıda katkı maddesi olarak karboksimetilselüloz sodyum için kabul edilebilir bir günlük alım belirlememiştir. Bununla birlikte, hayvan çalışmalarında, karboksimetilselüloz sodyumun deri altı uygulamasının iltihaba neden olduğu ve bazı tekrarlanan enjeksiyon vakalarında enjeksiyon bölgesinde fibrosarkomlar bulunmuştur. Sığırlarda ve atlarda, aşılar ve penisilinler gibi parenteral formülasyonlardaki karboksimetilselüloz sodyuma atfedilen aşırı duyarlılık ve anafilaktik reaksiyonlar meydana gelmiştir. LD 50 (kobay, ağızdan): 16 g/kg, LD 50 (sıçan, ağızdan): 27 g/kg. Uyumsuzluklar Karboksimetilselüloz sodyum, güçlü asidik çözeltilerle ve demirin çözünür tuzları ve alüminyum, cıva ve çinko gibi diğer bazı metallerle geçimsizdir. Ayrıca ksantan sakızı ile uyumsuzdur. Çökelme, pH < 2’de ve ayrıca etanol (%95) ile karıştırıldığında meydana gelebilir. Karboksimetilselüloz sodyum, jelatin ve pektin ile kompleks koaservatlar oluşturur. Aynı zamanda kollajen ile bir kompleks oluşturur ve belirli pozitif yüklü proteinleri çökeltme yeteneğine sahiptir. Üretim yöntemleri Alkali selüloz, odun hamuru veya pamuk liflerinden elde edilen selülozun sodyum hidroksit çözeltisinde demlenmesiyle hazırlanır. Alkali selüloz daha sonra karboksimetilselüloz sodyum üretmek için sodyum monokloroasetat ile reaksiyona sokulur. Bu eterleştirmenin yan ürünleri olarak sodyum klorür ve sodyum glikolat elde edilir.
Call us now: +1(800) 123 4567
Email: oesus@support.com

















