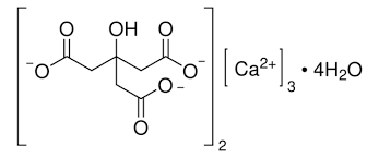
Tanım : Kalsiyum sitrat, sitrik asidin kalsiyum tuzudur. Genellikle bir gıda katkı maddesi (E333) olarak, genellikle bir koruyucu olarak, ancak bazen de tat için kullanılır. Bu anlamda, sodyum sitrata benzerdir. Kalsiyum sitrat ayrıca bir su yumuşatıcısı olarak kullanılır çünkü sitrat iyonları istenmeyen metal iyonlarını şelatlayabilir. Kalsiyum sitrat ayrıca bazı diyet kalsiyum takviyelerinde (örneğin Citracal) bulunur. Kalsiyum, ağırlıkça kalsiyum sitratın %21’ini oluşturur. Çoğu bitki ve hayvanda doğal olarak bulunan bir kimyasal olan kalsiyum sitrat, sitrik asitten elde edilen kalsiyum tuzudur. Kalsiyum sitrat, doğal olarak bulunan sitrik asit içeren gıdalarda bulunur. Kalsiyum sitrat, kalsiyum takviyesi olarak kullanılır ve düşük kalsiyum seviyelerinin neden olduğu kemik erimesi (osteoporoz), zayıf kemikler (osteomalazi/raşitizm), paratiroid bezinin aktivitesinin azalması (hipoparatiroidizm) ve belirli bir kas hastalığı (latent tetani) gibi durumların tedavisinde kullanılabilir. Kalsiyum sitrat, kolon ve diğer kanserler için kemopreventif olabilir. Kalsiyum sitrat, diyet takviyelerinde bir bileşen olarak ve bir besin maddesi, bağlayıcı, tampon, antioksidan, sıkılaştırıcı madde, asitlik düzenleyici (reçel ve jölelerde, meşrubatlarda ve şaraplarda), kabarma maddesi ve emülsifiye edici tuz olarak kullanılır. Ayrıca unların pişirme özelliklerini iyileştirmek ve bir dengeleyici olarak kullanılır. ChEBI: Kalsiyum sitrat, 3:2 oranında kalsiyum katyonları ve sitrat anyonlarından oluşan organik bir kalsiyum tuzudur. Nutrasötik, gıda katkı maddesi, gıda koruyucu ve tatlandırıcı olarak rol oynar. Bir sitrat (3-) içerir.. Üretim Yöntemleri : Kalsiyum sitrat, sitrik asidin endüstriyel olarak üretildiği fermantasyon sürecinden sitrik asidin izolasyonunda bir ara maddedir. Et suyu çözeltisindeki sitrik asit, kalsiyum hidroksit ile nötralize edilir ve çözünmeyen kalsiyum sitrat çökelir. Bu daha sonra et suyunun geri kalanından filtrelenir ve temiz kalsiyum sitrat elde etmek için yıkanır. Bu şekilde üretilen kalsiyum sitrat olduğu gibi satılabilir veya seyreltik sülfürik asit kullanılarak sitrik aside dönüştürülebilir. İlaç Uygulamaları : Kalsiyum sitrat daha kolay emilir (biyoyararlanımı kalsiyum karbonattan 2,5 kat daha yüksektir); sindirimi daha kolaydır ve kalsiyum karbonata göre kabızlık ve gaza neden olma olasılığı daha düşüktür. Kalsiyum sitrat aç karnına alınabilir ve aç karnına kalsiyum karbonata göre daha kolay emilir. Ayrıca böbrek taşı oluşumuna daha az katkıda bulunduğu düşünülmektedir. Kalsiyum sitrat yaklaşık %24 Ca 2+ içerir, bu da 1000 mg kalsiyum sitratın yaklaşık 240 mg Ca 2+ içerdiği anlamına gelir . Daha düşük Ca 2+ içeriği ve daha yüksek fiyatı, onu kalsiyum karbonata kıyasla daha pahalı bir tedavi seçeneği haline getirir, ancak biraz farklı uygulama alanı bunu haklı çıkarabilir. Biyolojik Aktivite : Birçok kişide, kalsiyum sitratın biyoyararlanımının daha ucuz kalsiyum karbonatla eşit olduğu bulunmuştur. Ancak, sindirim sistemindeki değişiklikler kalsiyumun nasıl sindirildiğini ve emildiğini değiştirebilir. Bazik olan ve mide asidini nötralize eden kalsiyum karbonatın aksine, kalsiyum sitratın mide asidi üzerinde hiçbir etkisi yoktur. Antasitlere duyarlı olan veya yeterli mide asidi üretmekte zorluk çeken kişiler takviye için kalsiyum karbonat yerine kalsiyum sitratı seçmelidir. Gastrik bypass ameliyatından sonra kalsiyum emilimiyle ilgili son araştırmalara göre, kalsiyum sitrat, ameliyattan sonra diyet takviyesi olarak kalsiyum sitrat alan Rouxen-Y gastrik bypass hastalarında kalsiyum karbonata göre biyoyararlanımı artırmış olabilir. Bunun başlıca nedeni, bu kişilerin sindirim sisteminde kalsiyum emiliminin nerede meydana geldiğiyle ilgili değişikliklerdir. Yanıcılık ve Patlayıcılık : Yanıcı değil
Call us now: +1(800) 123 4567
Email: oesus@support.com












