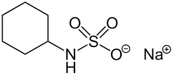
[Genel Açıklama] Kokusuz veya hemen hemen kokusuz beyaz kristaller veya kristal toz. Seyreltik çözeltide bile yoğun tatlı tat. pH (suda %10 çözelti): 5,5-7,5. Besleyici olmayan bir tatlandırıcı olarak kullanılır. [Reaktivite Profili] SODYUM SİKLAMAT(139-05-9) güçlü oksitleyici maddeler, güçlü asitler ve güçlü bazlarla uyumsuzdur. Ayrıca asit çözeltisindeki nitritlerle geçimsizdir. Potasyum tuzları ile sadece sınırlı uyumluluğu vardır. [Tehlike] Laboratuvar hayvanlarında kansere neden olduğuna dair bazı kanıtlar. Gıda kullanımı için FDA tarafından yasaklanmıştır. Şüpheli kanserojen. [Dünya Sağlık Örgütü (WHO)] Besleyici olmayan tatlandırıcı maddeler olan siklamatlar, 1950’den beri gıda ve ilaçlarda katkı maddesi olarak kullanılmaktadır. Deney hayvanlarında çok yüksek ve uzun süreli dozlarda kanserojen potansiyele sahip oldukları gösterilmiştir. Sonuç olarak bazı ülkeler gıda katkı maddesi olarak kullanımlarını yasaklarken, diğerlerinde bu amaçla kullanılabilir durumda kalmaktadır. Bununla birlikte çoğu ülke, farmasötik preparasyonlarda küçük miktarlarda kullanımlarına izin vermeye devam etmektedir. [Toksikoloji] Sodyum siklamat kokusuz bir tozdur. Seyreltik çözeltide sükrozdan yaklaşık 30 kat daha tatlıdır. Sodyum siklamatın yapısı Şekil 10.10’da gösterilmektedir. 105 haftaya kadar günde 2600 mg/kg vücut ağırlığı sodyum siklamat ve sodyum sakarin karışımı (10:1) alan 80 fareden 8’inin idrar kesesinde kılcal geçiş hücreli tümörler bulundu. Test karışımı, 35 ve 45 dişi sıçan gruplarına 500, 1120 ve 2500 mg/ kg vücut ağırlığını sağlamak için tasarlanmış diyet seviyelerinde beslendiğinde, tek önemli bulgu, 70 sıçanın 12’si, yaklaşık 25 g vücut ağırlığının (yaklaşık 25 g vücut ağırlığının) maksimum diyet seviyesini besleyen 70 sıçanda (yaklaşık 25 g vücut ağırlığının) oluşmasıydı. Özellikle yüksek doz grubunda sodyum siklamattan sikloheksilamine in vivo dönüşüm gözlendi. Sikloheksilamin, sodyum siklamata (LD50 oral=12g/kg) kıyasla çok toksiktir (LD50 sıçan oral=157 mg/dg). [Düzenleyici Durum] Siklamatların yiyeceklerde, alkolsüz içeceklerde ve suni tatlandırıcı tabletlerde yapay tatlandırıcılar olarak kullanılması, metabolit sikloheksilamin hakkındaki endişeler nedeniyle bir zamanlar Birleşik Krallık’ta ve diğer bazı ülkelerde yasaklanmıştı. Ancak artık durum böyle değil ve siklamatların artık Avrupa’da bir gıda katkı maddesi olarak kullanılmasına izin veriliyor. FDA Aktif Olmayan Maddeler Veritabanına dahildir (oral toz, çözeltiler, çiğnenebilir tabletler ve süspansiyonlar). İngiltere’de lisanslı parenteral olmayan ilaçlara dahildir. Kanada Tıbbi Olmayan Kabul Edilebilir İçerikler Listesine dahil edilmiştir
Call us now: +1(800) 123 4567
Email: oesus@support.com














