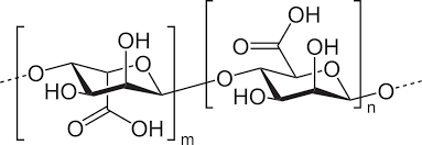
Özellikler : Sodyum aljinat [9005-38-3] deniz yosunundan ekstrakte edilir ve 1,4-glikosidik bağlarla bağlanan β-dmannuronik asit ve a-l-guluronik asidin doğrusal bir kopolimeridir. Genellikle kalsiyum veya alüminyum gibi çok değerlikli iyonların varlığında bir jel oluşturur. Hücrelerin kontrollü olarak hapsedilmesi basittir ve genellikle toksik değildir. Çeşitli hücre tipleri, ihmal edilebilir canlılık kaybıyla hareketsiz hale getirilebilir. Bununla birlikte matris, fosfat, sitrat veya etilendiamintetraasetik asit gibi Ca2+-şelatlayıcı maddelerin varlığında çözünebilir. Aljinat matrisi mekanik olarak zayıf olduğundan büyüyen hücreler (özellikle bitki hücreleri) boncuklardan salınabilir ve hatta parçalanabilir. Canlı hayvan hücreleri için aljinat yönteminin diğer bir dezavantajı, içlerindeki oksijen sınırlamasının üstesinden gelmeye yetecek kadar küçük boncuklar üretmenin zorluğudur. Fiziki ozellikleri : Sodyum aljinat, kokusuz ve tatsız, beyaz ila soluk sarımsı kahverengi renkli bir toz halinde oluşur. alkol, eter veya kloroform vb. içinde çözünmez. Sodyum aljinatın sulu çözeltisi pH 4 ila 10 arasında stabildir ve pH < 3 olduğunda çöker; pH > 10 olduğunda hidroliz meydana gelir ve aynı zamanda viskozite de kaybolur. Kullanım Alanlar : Sodyum aljinat, kokusuz bir sakız olarak kullanılabilir. Gıda endüstrisinde viskoziteyi arttırmak için ve emülgatör olarak kullanılır. Ayrıca hazımsızlık tabletlerinde ve diş ölçülerinin hazırlanmasında da kullanılır. Sodyum aljinat (NaAlg) ve onun değiştirilmiş formları, hidrofilik doğası ve istenen ayrımı elde etmek için yapılarını değiştirme/ayarlama konusundaki çok yönlülüğü nedeniyle sulu-organik çözeltilerin pervaporasyon (PV) ayırmasında membranlar olarak yaygın şekilde kullanılmaktadır. Sodyum aljinat, kahverengi deniz yosunu ve yosunlardan elde edilebilen bir polimerdir. Bu bitkilerin hücre duvarlarının oluşmasına yardımcı olan yapısal polimerlerden biridir. Bazı olağandışı özelliklere ve çok çeşitli kullanımlara sahiptir. Genel açıklama : Aljinik asit sodyum, jelleşen ve toksik olmayan bir anyonik polisakkarittir. Aljinik asit zincirindeki karboksilik asit grupları onu suda çözünmez hale getirir. Ancak aljinik asidin sodyum formuna dönüştürülmesi, suda kolayca çözünmesini sağlar. Farmasötik Uygulamalar : Sodyum aljinat çeşitli oral ve topikal farmasötik formülasyonlarda kullanılır. Tablet formülasyonlarında sodyum aljinat hem bağlayıcı hem de parçalayıcı olarak kullanılabilir; kapsül formülasyonlarında seyreltici olarak kullanılmıştır. Sodyum aljinat, bir ilacın tabletlerden, kapsüllerden ve sulu süspansiyonlardan çözünmesini geciktirebildiği için sürekli salımlı oral formülasyonların hazırlanmasında da kullanılmıştır. Sodyum aljinatın parçacık boyutunun, viskozitesinin ve kimyasal bileşiminin matris tabletlerden ilaç salınımı üzerindeki etkileri açıklanmıştır. Sodyum aljinat, topikal formülasyonlarda, çeşitli macunlarda, kremlerde ve jellerde koyulaştırıcı ve süspansiyon maddesi olarak ve su içinde yağ emülsiyonları için dengeleyici madde olarak yaygın şekilde kullanılır. Güvenlik profili : İntravenöz ve intraperitoneal yollardan zehirlenme. Ayrışıncaya kadar ısıtıldığında toksik Na2O dumanı yayar. Uyumsuzluklar : Sodyum aljinat, %5’in üzerindeki konsantrasyonlarda akridin türevleri, kristal viyole, fenilmerkürik asetat ve nitrat, kalsiyum tuzları, ağır metaller ve etanol ile uyumsuzdur. Düşük elektrolit konsantrasyonları viskozitede bir artışa neden olur, ancak yüksek elektrolit konsantrasyonları sodyum aljinatın tuzlanmasına neden olur; %4’ten fazla sodyum klorür mevcutsa tuzlanma meydana gelir. Emniyet : Sodyum aljinat kozmetiklerde, gıda ürünlerinde ve tabletler gibi farmasötik formülasyonlarda ve yara pansumanları dahil topikal ürünlerde yaygın olarak kullanılmaktadır. Genellikle toksik olmayan ve tahriş edici olmayan bir malzeme olarak kabul edilir, ancak aşırı ağızdan tüketimi zararlı olabilir. 7 gün boyunca günlük 175 mg/kg vücut ağırlığı sodyum aljinat alımıyla beslenen ve ardından 16 gün boyunca günlük 200 mg/kg vücut ağırlığı sodyum aljinat alımıyla beslenen beş sağlıklı erkek gönüllüde yapılan bir çalışma, herhangi bir olumsuz sonuç göstermedi. önemli olumsuz etkiler. Gıdalarda kullanılan seviyeler sağlık açısından tehlike oluşturmadığından, Dünya Sağlık Örgütü aljinik asit ve aljinat tuzları için kabul edilebilir bir günlük alım miktarı belirlememiştir. Aljinat tozunun solunması tahriş edici olabilir ve aljinat üretiminde çalışan işçilerde endüstriye bağlı astımla ilişkilendirilmiştir. Ancak astım vakalarının saf aljinat tozu yerine deniz yosunu tozuna maruz kalmayla bağlantılı olduğu görülüyor. LD50 (kedi, IP): 0,25 g/kg. LD50 (fare, IV): 0,2 g/kg. LD50 (tavşan, IV): 0,1 g/kg. LD50 (sıçan, IV): 1 g/kg. LD50 (sıçan, oral) : >5 gr/kg
Call us now: +1(800) 123 4567
Email: oesus@support.com
















