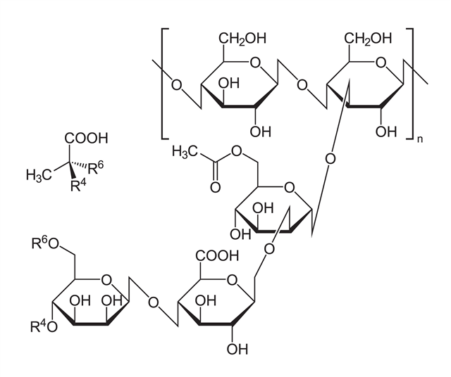
Tanım : Xanthan Gum, fermente şekerlerin (glikoz, mannoz ve glukuronik asit) belirli bir bakteri türü ile karıştırılmasıyla yapılan uzun zincirli bir polisakkarittir. Esas olarak emülsiyonları, köpükleri ve süspansiyonları kalınlaştırmak ve stabilize etmek için kullanılır. Ksantan sakızı, çok çeşitli gıda ürünlerinin reolojik özelliklerini kontrol etmek için bir gıda katkı maddesi olarak yaygın şekilde kullanılmaktadır. Üretimde, ksantan sakızı, diş macunlarında ve ilaçlarda koyulaştırıcı ve stabilize edici bir madde olarak kullanılır. Diyabetli kişilerde kan şekerini ve toplam kolesterolü düşürmek için ilaç yapmak için kullanılır. Müshil olarak kullanılır. Ksantan sakızı bazen ağız kuruluğu (Sjögren sendromu) olan kişilerde tükürük yerine kullanılır. Bakteriyel polisakkarit analizi : Ksantan sakızı, bir karbonhidratın gram-negatif bakteri Xanthomonas campestris ile saf kültür fermantasyonu ile üretilen yüksek moleküler ağırlıklı bir polisakkarit sakızdır. Bu doğal polisakkarit, gıda endüstrisinde ve daha az ölçüde ilaç endüstrisinde yaygın olarak kullanılmaktadır. Ksantan sakızı, USP28/NF ve PhEur’de monograflanmıştır. Asidik ve alkali koşullarda (pH 5-13) kararlı olmasının yanı sıra sıcak ve soğuk suda çözünür. Ksantan sakızının birincil yapısı, baskın heksoz birimleri olarak D-glukoz ve D-mannoz ile birlikte D-glukuronik asit içerir. Trisakarit yan zinciri, karışık K+, Na+ ve Ca++ tuzları olarak oluşan iki D-mannoz kalıntısı ve bir D-glukuronik asit kalıntısından oluşur. Ksantan moleküllerinin birleşmesi yoluyla, yüklü trisakarit yan zincirleri aracılığıyla bir kuaterner yapının ortaya çıktığı düşünülmektedir. Ksantan zamkı suda çözünür bir polimerdir. Ne USP ne de PhEur, kimliğin veya saflığın belirlenmesi için bir HPLC yöntemi sağlamaz. Genel açıklama : Ksantan, gıda katkı maddesi, enzim substratı veya reoloji değiştirici gibi birçok uygulamada kullanılan bir polisakarit olduğundan, açıkça tanımlanmış dar bir moleküler ağırlık dağılımına sahip bir ksantan standardına sahip olmak faydalıdır. Ksantan, Xanthomonas campestris’ten fermantasyonla üretilir. Emniyet : Ksantan sakızı, oral ve topikal farmasötik formülasyonlarda, kozmetiklerde ve gıda ürünlerinde yaygın olarak kullanılır ve genellikle farmasötik bir eksipiyan olarak kullanılan seviyelerde toksik ve tahriş edici olmadığı kabul edilir. Ksantan sakızı için tahmini kabul edilebilir günlük alım miktarı, DSÖ tarafından vücut ağırlığına göre 10 mg/kg olarak belirlenmiştir. Tavşanlarda göz veya cilt tahrişi gözlemlenmemiştir ve kobaylarda cilt maruziyetinden sonra cilt alerjisi gözlenmemiştir. Sıçanlar (1000 mg/kg/gün’e kadar) ve köpekler (1000 mg/kg/gün’e kadar) ile yapılan uzun süreli beslenme çalışmalarında herhangi bir yan etki gözlenmemiştir. Sıçanlarda (500 mg/kg/gün’e kadar) yapılan üç kuşak üreme çalışmasında herhangi bir yan etki gözlenmemiştir. Uyumsuzluklar : Ksantan zamkı anyonik bir malzemedir ve çökelme meydana geldiğinden genellikle katyonik yüzey aktif maddeler, polimerler veya koruyucu maddeler ile uyumlu değildir. %15 w/v’nin üzerindeki konsantrasyonlarda anyonik ve amfoterik yüzey aktif maddeler, bir çözeltiden ksantan sakızının çökelmesine neden olur. Yüksek alkali koşullar altında, kalsiyum gibi polivalan metal iyonları jelleşmeye veya çökelmeye neden olur; bu, bir glukoheptonat kenetleyicinin eklenmesiyle inhibe edilebilir. Düşük seviyelerde boratların (<300 ppm) varlığı da jelleşmeye neden olabilir. Bu, bor iyonu konsantrasyonunun arttırılmasıyla veya bir formülasyonun pH’ının pH 5’in altına düşürülmesiyle önlenebilir. Etilen glikol, sorbitol veya mannitol ilavesi de bu jelleşmeyi önleyebilir. Ksantan sakızı, çoğu sentetik ve doğal viskozite artırıcı madde, birçok güçlü mineral asit ve %30’a kadar inorganik tuzlarla uyumludur. Selüloz türevleri ile birleştirilecek ise selüloz türevinin depolimerizasyonunu önlemek için selülaz içermeyen ksantan sakızı kullanılmalıdır. Ksantan zamkı çözeltileri, aseton, metanol, etanol veya propan-2-ol gibi %60’a kadar suyla karışabilen organik çözücülerin varlığında kararlıdır. Ancak bu konsantrasyonun üzerinde çökelme veya jelleşme meydana gelir.













