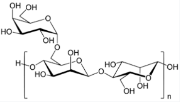
Arap zamkı[GA], bir polisakkaridik asidin karışık bir kalsiyum, magnezyum ve potasyum tuzu olarak bulunan, nötr veya hafif asidik, dallı zincirli, kompleks bir polisakkarittir [1-3] . Omurgası, 1,3-bağlı bD-galaktopiranosil birimlerinden oluşur. Yan zincirler, ana zincire 1,6-bağlantılarla birleştirilmiş iki ila beş 1,3-bağlı bD-galaktopiranosil biriminden oluşur. Kimyasal özellikler : Akasya sakızı beyaz ila sarı-beyaz kokusuz bir tozdur. Suda çözünür ve alkolle, oksitleyici maddelerle geçimsizdir ve ferrik tuzlar, boraks, kurşun subasetat, alkol, sodyum silikat, jelatin, amonyak guaiac tentürü eklendiğinde çökelir veya jöleler oluşturur. Toksik ve tehlikesizdir. Akasya ağacının çeşitli türlerinden, özellikle Acacia senegal ve A. Arabica’dan elde edilen suda çözünür bir zamk, yapıştırıcı ve mürekkep üretiminde ve ebru renkleri için bağlayıcı bir ortam olarak kullanılır. Sakız akasya, chaar gund veya char goond olarak da bilinen arap zamkı, akasya ağacının iki türünden (A. senegal ve A. seyal) alınan sertleştirilmiş özsuyundan yapılmış doğal bir sakızdır. Gum arabic, A. senegal ağacının gövde ve dallarından bir eksuda olarak ortaya çıkan doğal bir ürünüdür. Öncelikle gıda endüstrisinde stabilizatör olarak kullanılır, ancak daha çeşitli kullanımları olmuştur. Normalde “gözyaşı” olarak adlandırılan sert, kehribar benzeri bir reçineye benzediğinde, kurutulduğunda elle toplanır. Arap sakızı, gıda endüstrisinde emülgatör, koyulaştırıcı ve tat arttırıcı olarak yaygın olarak kullanılmaktadır. Kullanımlar : Müsilaj, tablet yardımcı maddesi, haşıl, emülgatör, koyulaştırıcı olarak, ayrıca şekerlemelerde, diğer gıdalarda; koloidal stabilizatör olarak. Püskürterek kurutulmuş “sabit” aromaların imalatında, aroma kararlılığının ve uzun raf ömrünün önemli olduğu paketlenmiş kuru karışım ürünlerinde (pudingler, tatlılar, kek karışımları) kullanılan kararlı, toz aromalar. Reaktivite Profili : Arap sakızı, güçlü oksitleyici maddelerle reaksiyona girer. Arap sakızı, ferrik tuzlar, boraks, bazik kurşun asetat, alkol, sodyum silikat, jelatin veya amonyaklanmış guaiac tentürü solüsyonlarının eklenmesi üzerine çözeltiden veya jölelerden çökelir. Sağlık tehlikesi : Arabica sakızı tozuna maruz kalma, zayıf bir alerjen reaksiyonu üretir. Uzun süreli toz soluma alerjik solunum reaksiyonlarına, baş ağrısına, öksürüğe, baş dönmesine, nefes darlığına, astım, burun ve gözlerin sulanması, öksürük, hırıltı, mide bulantısı, kusma, nefes darlığı ve ürtiker gibi solunum semptomlarına neden olabilir. Kurdeşen, egzama ve şişlik de oluşabilir. Sakız akasyasının yutulması ve solunması toksik değildir, ancak hassas kişilerde hafif toksisite semptomları gelişebilir. Farmasötik Uygulamalar : Akasya, esas olarak oral ve topikal farmasötik formülasyonlarda, genellikle tragakant ile kombinasyon halinde, süspanse edici ve emülsifiye edici bir madde olarak kullanılır. Pastil ve pastillerin hazırlanmasında ve bir tablet bağlayıcı olarak da kullanılır, ancak dikkatli kullanılmadığında uzun parçalanma süresine sahip tabletler üretebilir. Akasya ayrıca bir biyo-yapışkan olarak değerlendirilmiştir; ve yeni tablet formülasyonlarında ve değiştirilmiş salımlı tabletlerde kullanılmıştır. Güvenlik profili : Yutulması halinde çok düşük toksisite. Solunması veya yutulması kurdeşen, egzama ve anjiyoödem üretmiştir. Deneysel üreme etkileri. Şiddetli göz tahriş edici. Zayıf bir alerjen. Mutasyon verileri bildirildi.Yanıcı. Ayrışmaya ısıtıldığında sakrit yayar. Uyumsuzluklar : amidopirin, apomorfin, kresol, etanol (%95), ferrik tuzlar, morfin, fenol, fizostigmin, tanenler, timol ve vanilin. Akasyada bulunan oksitleyici bir enzim, kolayca oksitlenebilen maddeler içeren müstahzarları etkileyebilir. Ancak enzim 100°C’de kısa bir süre ısıtılarak inaktive edilebilir. Birçok tuz, sulu akasya çözeltilerinin viskozitesini azaltırken, üç değerlikli tuzlar pıhtılaşmayı başlatabilir. Sulu çözeltiler negatif yük taşır ve jelatin ve diğer maddelerle koaservatlar oluşturur. Emülsiyonların hazırlanmasında akasya çözeltileri sabunlarla geçimsizdir.
Genel Kimyasallar, Gıda ve İçecek Kimyasalları
Gum arabik ( Gum arabic E 414 Food grade )
$11,00
- Purıty 99.5% min
- Moısture 15% max
- Total Ash 4% min
- Acıd Insoluble Ash 0.4%
- Acıd Insoluble Matter 0.01%
- Ph 0.5 max
- Vıscosıty 131 Cps.
- Lead 13 ppm max.
- Arsenıc 3 ppm max.
- Total Heavy Matal 20 ppm max
- T.V.C. 2000/G. max
- Yeast And Mould 200/G. max
- Salmonella Passed
- E Colı Passed
- CAS No: 9000-01-5
- Purıty 99.5% min
- Moısture 15% max
- Total Ash 4% min
- Acıd Insoluble Ash 0.4%
- Acıd Insoluble Matter 0.01%
- Ph 0.5 max
- Vıscosıty 131 Cps.
- Lead 13 ppm max.
- Arsenıc 3 ppm max.
- Total Heavy Matal 20 ppm max
- T.V.C. 2000/G. max
- Yeast And Mould 200/G. max
- Salmonella Passed
- E Colı Passed
- CAS No: 9000-01-5















